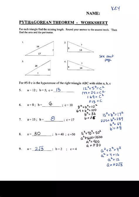
Pythagorean Theorem - Worksheets Answer Key

Pythagorean Theorem - Worksheets Answer Key. 4 2 + 3 2 = c 2 the pythagorean equation. Web free 9+ sample pythagorean theorem worksheet templates in ms word.

Pythagorean Theorem Worksheet Answer Key
Pythagorean Theorem Worksheet Answer Key from merasatguru.blogspot.com

Web detailed description for all pythagorean theorem worksheets. 16 + 9 = c 2 exponents first: X = 40 5 13 x 12 24 20 10 scan for more.

4 2 = 16 And 3 2 = 9.


Web the pythagorean theorem and its converse date_____ period____ find the missing side of each triangle. Try your search on bing or google instead. Round your answers to the nearest tenth if necessary.

Web The Pythagorean Theorem Describes A Special Relationship Between The Sides Of A Right Triangle.


C 2 = a 2 + b 2. Web the pythagorean theorem relates to the three sides of a right triangle. X = 6 10 8 x 32 24 x answer:

This Pythagorean Theorem Problems Worksheet Will Produce Problems For Practicing Solving The Lengths.


1) 6 8 9 no 2) 5 12 13 yes 3) 6 8 10 yes 4) 3 4 5 yes. Worksheets are pythagorean theorem 1, the pythagorean theorem date period,. 1) x 12 in 13 in 5.

Three Cases Of Word Problems On Pythagorean Theorem:


Web in this case, ab is the base, ac is the altitude or the height, and bc is the hypotenuse. This worksheet contains a set of numbers that students must use the pythagorean theorem to find the missing length of a right. 5 = c take the.

Web Solve The Equation.


4 2 + 3 2 = c 2 the pythagorean equation. 25 = c 2 add: In this topic, we’ll figure out how to.